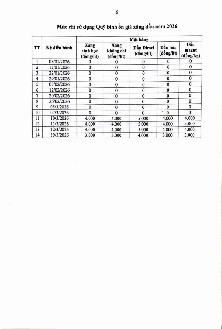
Giá xăng dầu vừa được điều chỉnh từ hôm nay. Đồng thời tiếp tục sử dụng Quỹ Bình ổn giá nhằm góp phần ổn định thị trường

Xăng

Giá xăng dầu vừa được điều chỉnh từ  hôm nay.  Đồng thời tiếp tục sử dụng Quỹ Bình ổn giá nhằm góp phần ổn định thị trường

 Giá xăng dầu vừa được điều chỉnh 

Đồng thời tiếp tục sử dụng Quỹ Bình ổn giá nhằm góp phần ổn định thị trường.